
Скандал у Херсоні: керівниця управління ОЗ усиділа в кріслі попри скандали та зміну керівництва, влаштувала на роботу свого чоловіка та доньку, а також без дозволу їздила за кордон
️Начальниця управління охорони здоров’я Херсона Вікторія Хмілевська досі на посаді, хоча керівництво міста вже кілька разів готувало її звільнення. У МВА триває аудит з 18 вересня по 6 листопада, пише "Мост".
На роботу в міські медзаклади влаштовані її чоловік Сергій та донька Дар’я. За документами донька працювала в перинатальному центрі навіть тоді, коли була за кордоном.
У червні 2025 року Хмілевська виїжджала до Нідерландів разом із донькою без дозволу керівництва, але звіт про поїздку опублікувала лише через місяць.
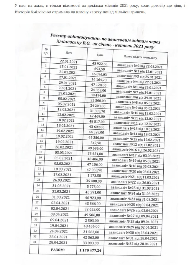
За даними "Моста", журналісти оприлюднили банківські виписки, які підтверджують отримання Хмілевською понад 1 млн грн зі стоматполіклініки у 2021 році.









